Đăng nhập để hỏi chi tiết


Hãy luôn nhớ cảm ơn và vote 5*
nếu câu trả lời hữu ích nhé!

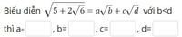
`VT = 1/(1+sina) + 1/(1-sina) - 2 tan^2 a`
`= (1-sina + 1 +sina)/((1+sina)(1-sina)) - 2 . (sin^2 a)/(cos^2 a)`
`= 2/(1-sin^2 a) - 2 . (sin^2 a)/(cos^2 a)`
`= 2 ( 1/(cos^2 a) - (sin^2 a)/(cos^2 a))`
`= 2 (cos^2 a)/(cos^2 a)`
`= 2 = VP`
Hãy giúp mọi người biết câu trả lời này thế nào?
Bảng tin
3136
53443
3287
Có phải sửa đâu. đổi phông thôi mà
0
5
0
sao phải làm tke
3136
53443
3287
-.- Cậu chả bảo màu đen tưởng cop còn gì
0
5
0
còn màu gì ngoài hai màu ko
3136
53443
3287
Đấy nhưng nhìn dở lắm
0
5
0
vẫn thế
3136
53443
3287
Xúc phạm v~~~~
0
5
0
ông màu gì