Tham Gia Group Dành Cho Lớp 8 Chia Sẻ, Trao Đổi Tài Liệu Miễn Phí
BAI TẬP : Phân theis dai số
22-2
2-2x
Em dkxd và hlat gon
Em gia ti cuae đế P-
a
Baid:
Cho biu thu
50-5x
22. (x+5)
2-5
%3D
2+10
gon
Bai 3: Cho biểis thuiu 1
fam dkrd va
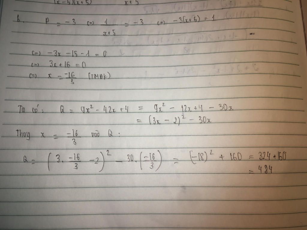
b Em giá ti cla e té P= 1, P=-3
to
2e+ 10
(set5)(x-5)
2.
2+5
2-5
a. Em dkyd va sut
gon
b Cho P--3.
Emb gia tu cu bieu ...
1365
34820
1354
Cố lên
699
5834
461
Huhu mk cũng đang cố đây nhưng mẹ mk bắt mk ngủ r, sáng sớm mai mk cày tiếp nhé ;-;
0
17
0
mk có ns ko thích đâu :/
699
5834
461
Mk lỡ làm câu nữa của bạn r ;-;
1365
34820
1354
Ko sao
0
17
0
uầy ;-;
699
5834
461
";-;" cái này nghĩa là sao bạn ;-;
699
5834
461
Bạn ko định vote câu 4 à ;-;