Đăng nhập để hỏi chi tiết


Hãy luôn nhớ cảm ơn và vote 5*
nếu câu trả lời hữu ích nhé!
Đáp án:
Giải thích các bước giải:
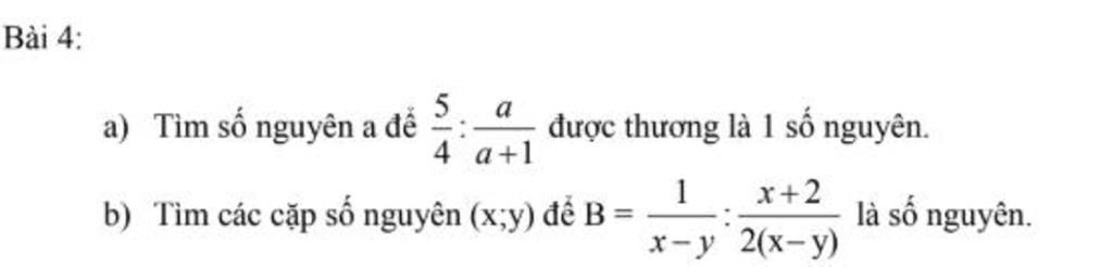
a) Ta có: 5/4:a/a+1=5/4.a+1/a=5a+5/4a=5a/4a+5/4a=a+5/4a
Để 5/4: a/a +1 số nguyên
thì 5 chia hết cho 4a
=>4a thuộc Ư(5)={-5;-1;1;5}
=>a thuộc {-5/4;-1/4;1/4;5/4}
Mà a là số nguyên => Không có giá trị nào của a thõa mãn
Hãy giúp mọi người biết câu trả lời này thế nào?

Bảng tin