Vui lòng chỉ chọn một câu hỏi
Hoidap247.com Nhanh chóng, chính xác
+
Danh mục mới
3
10
Hãy luôn nhớ cảm ơn và vote 5* nếu câu trả lời hữu ích nhé!
53468
3076
52826
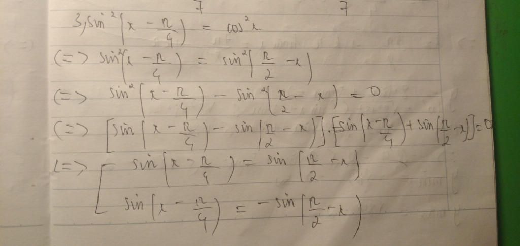
Bạn xem hình
Hãy giúp mọi người biết câu trả lời này thế nào?
365
6999
845
anh cường ơi nhóm anh có tuyển tv ko ạ
1569
24629
1144
Đáp án:
Giải thích các bước giải:
Mk gửi ảnh r đó
2508
665
1828
Rảnh :<
Hm nay kiếm đc nhiều điểm hơn mọi khi 🤣
Haizz nhg tui thấy lm nhiều cho bn cx phát mệt :/
:V cho cả nhóm mà 🤧
Mà hôm trc có bài mà c bảo kéo xuống pk lớp 11 là có ý, xong bn quangcuong vào tl ý :< đâu mất tiêu rồi mình muốn tìm lại
:V bài tìm số ng k hả
https://hoidap247.com/cau-hoi/1020674
Đó
Bảng tin
Gửi yêu cầu Hủy
365
6999
845
anh cường ơi nhóm anh có tuyển tv ko ạ