Vui lòng chỉ chọn một câu hỏi
Hoidap247.com Nhanh chóng, chính xác
+
Danh mục mới
0
9
Hãy luôn nhớ cảm ơn và vote 5* nếu câu trả lời hữu ích nhé!
337
5929
477
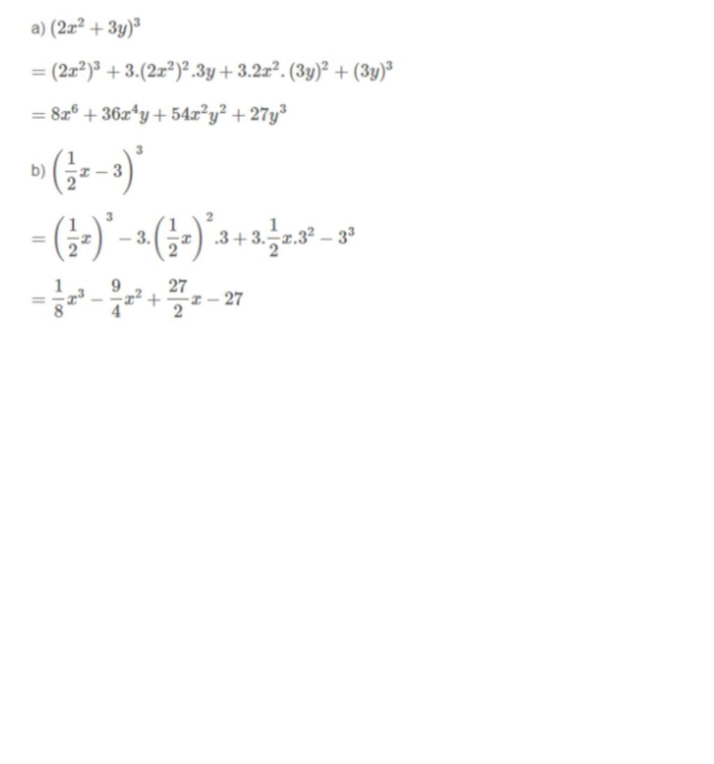
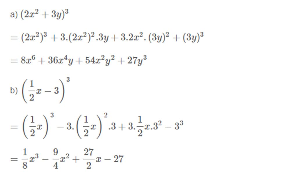
Giải trong hình nha!
Hãy giúp mọi người biết câu trả lời này thế nào?
150
3688
203
à tưởng ghi thế nào
mik sữa đã
ờm
Đáp án:
Giải thích các bước giải:
hi
???????????
số mũ
mik sữa rồi
bạn nhớ ghi rõ nhe
số 3 ở ngoài ngoặc cũng là số mũ
cả 2 phép tính, ông lm kiu j đó
oh srry
sữa đã
Bảng tin
Gửi yêu cầu Hủy
150
3688
203
à tưởng ghi thế nào
150
3688
203
mik sữa đã
337
5929
477
ờm